2022吉林高考理科数学答案解析


    

1.png
    

2.png
    

3.png
    

4.png
    

5.png
    

6.png
    

7.png
    

8.png
    

9.png
    

10.png
    

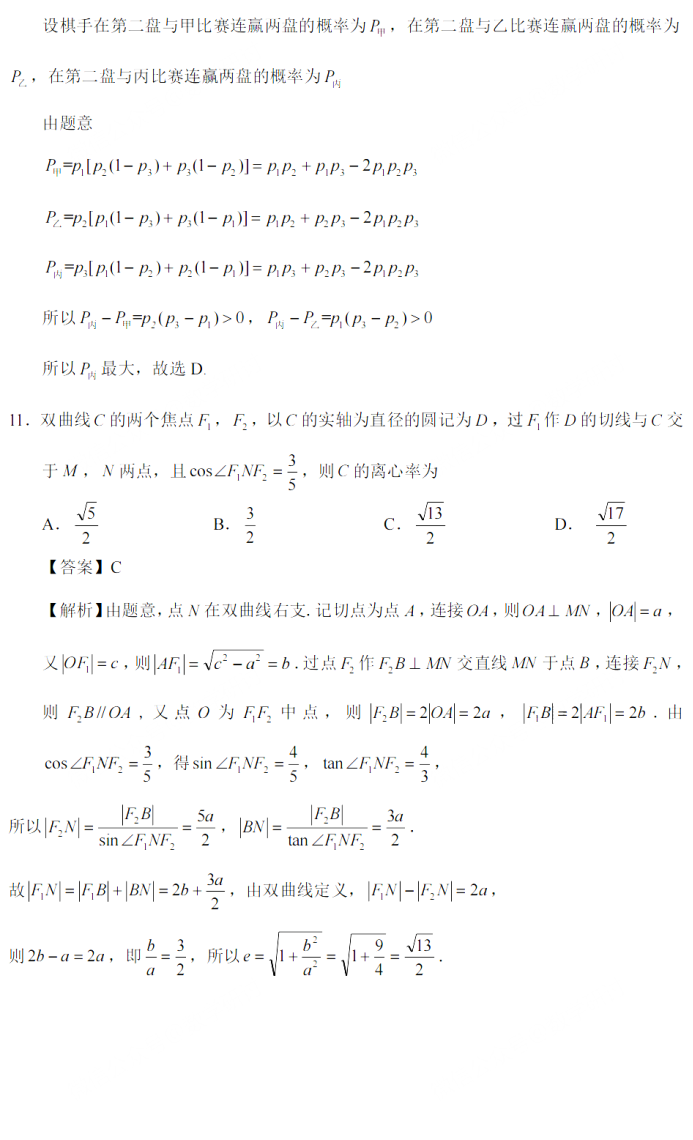
11.png
    

12.png
    

13.png
    

14.png
    

15.png