2023宁夏高考理科数学试题答案【word精校版】
2023年高考理科数学试题答案 (全国乙卷)
单选题
1、B 2、A 3、D 4、D 5、C 6、D
7、C 8、B 9、C 10、B 11、D 12、A
填空题
13、9/4 14、8 15、-2
16
综合题
17、 (1) 11 ; 61 (2)有显著提高
18、 (1)首先由余弦定理求得边长BC的值为
![]()
,然后由余弦定理可得
![]()
,最后由同角三角函数基本关系可得
![]()
;
(2)
![]()
由题意得

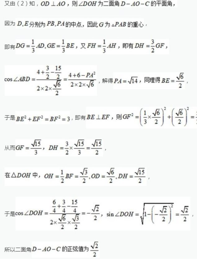
19



20

21

22
第一小题

第二小题
