2023新疆高考文科数学试题答案【word精校版】
2023年高考真题文科数学答案 (全国乙卷)
单选题
1、C 2、A 3、D 4、C 5、D 6、B
7、C 8、B 9、A 10、D 11、C 12、D
填空题
13、9/4 14、
15、8 16、2
17、

18

19



20


21


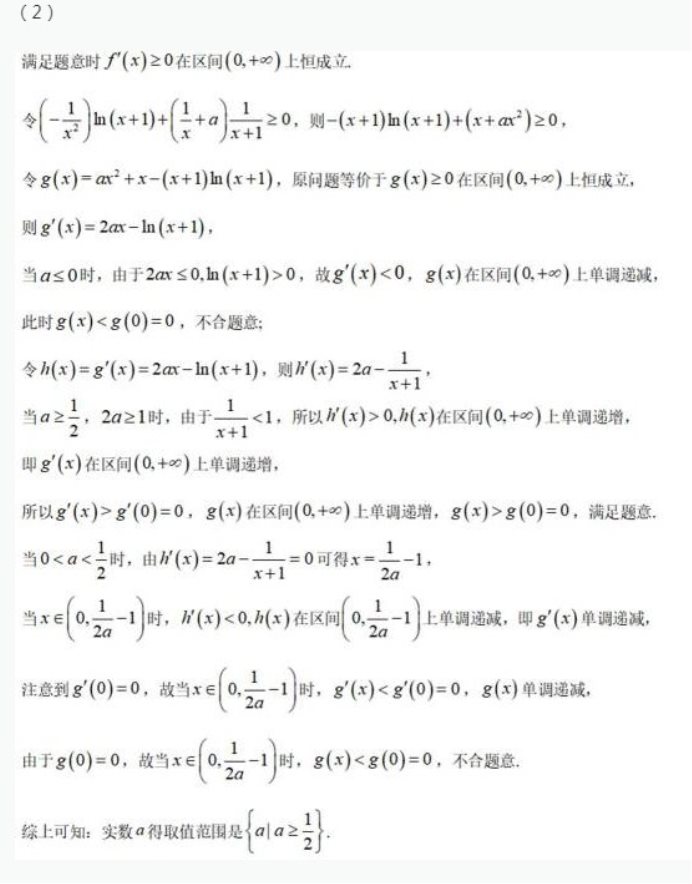
22

