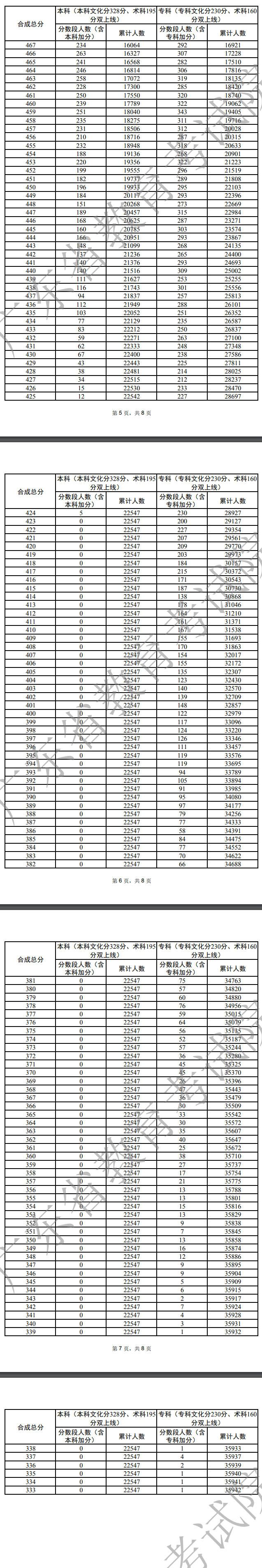
2022广东高考美术类一分一段表 专科成绩排名查询
一分一段表是将全省同科类考生的档案分从高到低排列,再按每1分一段,统计“本段人数”;从本段向上一直到最高分段的所有“本段人数”相加,则为“累计人数”。

广东2022高考美术类一分一段表


一分一段表用途是什么
1、作为统计表格,为决策部门提供支持,方便统筹规划。以高考成绩分段表为例,相关部门通过相应的高考成绩分段表,最终确定高考各个批次的录取分数线。
2、对于被统计者来说,成绩分段表具有极大的参考价值,为被统计提供很好的定位,从而作出合理的决策。
从高到低排序,以一分为一段,制成考生投档分的“一分段表”。一分段表上的分数,不含和志愿相关的志愿加分。“一分段表”上的每个分要对应一个“人数”,即有多少考生是这个分数,还对应了一个“累加人数”,即是这个分数考生的排名