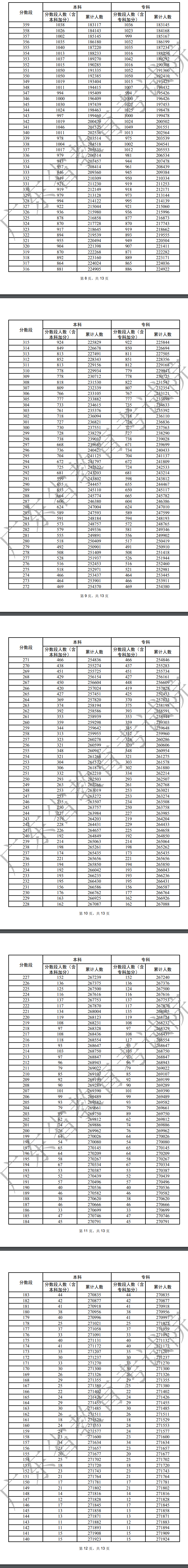
2022广东高考一分一段表 最新成绩位次排名


    一分一段表是将全省同科类考生的档案分从高到低排列,再按每1分一段,统计“本段人数”;从本段向上一直到最高分段的所有“本段人数”相加,则为“累计人数”。
    2022广东高考一分一段表 最新成绩位次排名
    广东2022高考物理类一分一段表
    广东物理类一分一段表1.jpg广东物理类一分一段表2.jpg广东物理类一分一段表3.jpg
    广东2022高考历史类一分一段表
    广东历史类一分一段表1.jpg广东历史类一分一段表2.jpg广东历史类一分一段表3.jpg广东历史类一分一段表4.jpg